Универсальный активный балансир с переключающими конденсаторами 2S (15354)

Активный балансир с переключающими конденсаторами. Балансир собран по типовой схеме. Конденсатор поочередно подключается к ячейкам аккумулятора, соответственно конденсатор заряжается от более заряженной ячейки и переносит энергию в менее заряженную.
160,00 грн
Артикул:
bg-15354
Описание
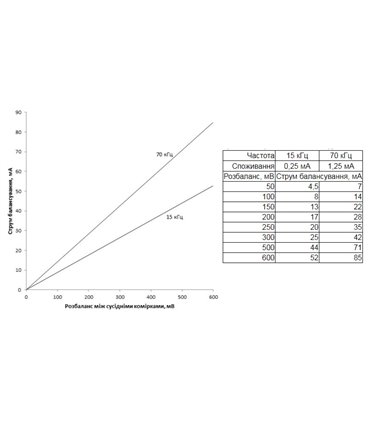
Активный балансир с переключающими конденсаторами. Балансир собран по типовой схеме. Конденсатор поочередно подключается к ячейкам аккумулятора, соответственно конденсатор заряжается от более заряженной ячейки и переносит энергию в менее заряженную. Поскольку основная часть энергии переносится с более заряженной ячейки в менее заряженную, то компоненты балансира практически не нагреваются. Возможны 2 режима работы стандартный с частотой переключения 15 кГц, и режим с повышенной частотой переключения 70 кГц. При частоте переключения собственный ток потребления микросхемы 0,25 мА, при частоте 70 кГц собственный ток потребления составит около 1,2 мА. Для переключения балансира в режим 70 кГц нужно запаять перемычки 0805 обозначены 0. Данные можно увидеть в таблице и графику. Плата универсальная, подходит на 2S, 3S, 4S ячейки размером 2*3см. Под любые типы аккумуляторов от 1,5V до 4,5V на одну ячейку. Подходит для Li-Ion, LiFePo, LiPo и LiTiO аккумуляторы. Рекомендуется для батарей небольшой емкости, которые заряжаются относительно нечасто, для батарей большой емкости, которые используются каждый день лучше подойдет пассивный балансир. Данный вариант изготовлен под 2S, отдельно также на 3S и 4S, которые отличаются только элементами.
Технические характеристики
Тип аккумулятора: LiIon, LiPo, LiFePo, LiTiO Количество ячеек: 2 Максимальное напряжение ячейки: 4,5 В Максимальный ток балансировки: ~ 50 мА (15 кГц), 85 мА (70 кГц) Масимальная ток собственного потребления, на ячейку 0,25 мА (15 кГц),), 1,25 мА (70 кГц) Рабочий температурный диапазон изделия: от -20 oC до +45 oC Габаритные размеры центрального модуля (ДхШхВ): 20х30х5 мм
Подробнее о товаре
bg-15354

Характеристики

Тип аккумулятора
LiIon, LiPo, LiFePo, LiTiO
Максимальное напряжение ячейки
4,5 В
Максимальный ток балансировки
~ 50 мА (15 кГц), 85 мА (70 кГц)
Рабочий температурный диапазон изделия
от -20 oC до +45 oC
Габаритные размеры центрального модуля (ДхШхВ)
20х30х5 мм
Количество ячеек
2
Корзина
0 Корзина
Обновление склада
01 февраля
11 сентября
13 декабря
13 июля
21 февраля
23 августа
23 марта
23 сентября
24 января
30 декабря
Гарантія та повернення
Отзывы
Комментариев нет

Оставьте отзыв

  • Fit:
  • Quality:
Опишите этот продукт простыми и короткими словами.
Загрузка изображений:
Бросьте изображения сюда или нажмите, чтобы загрузить.
В этой категории 16 товаров:
292,00 грн
Активный балансир с переключающими конденсаторами. Балансир собран по типовой схеме. Конденсатор поочередно подключается к ячейкам аккумулятора, соответственно конденсатор заряжается от более заряженной ячейки и...
В корзину
491,00 грн
Плата балансир для литиевых аккумуляторов. Обновленная версия платы-балансир для последовательно соединенных аккумуляторов. Разработанная на базе нашего магазина.
В корзину
86,00 грн
Балансир активный для LiIon аккумуляторов 8S 4.2V. Плата балансировки для 8 аккумуляторов подходит для несбалансированной зарядки литий-ионных батарей, для выравнивания заряда.Технические характеристикиТок...
В корзину
55,00 грн
Плата балансир для литиевых аккумуляторов Li-Ion 2S 8.4V 100mA. Контроллер BMS 2S c функцией балансировки специально разработки для Сборники с железо-фосфат аккумуляторов с максимальным напряжением 8,4В (для 2...
В корзину
1 309,00 грн
Мощный пассивный балансир для аккумуляторов литий-ферум LiFePo 6S с током балансировки 1A! Данное изделие применяется для пассивного выравнивания напряжения (балансировки) 6 последовательно соединенных литий-ферум...
507,00 грн
Активный универсальный конденсаторный балансир 6S 3A.Если балансир используется для батареи из литий титанатных элементов или суперконденсаторов, необходимо изменить схему: удалить транзистор обведенный желтым, и...
625,00 грн
Активный универсальный конденсаторный балансир 8S 2A.Если балансир используется для батареи из литий титанатных элементов или суперконденсаторов, необходимо изменить схему: удалить транзистор обведенный желтым, и...
В корзину
141,00 грн
Плата балансування для 3 акумуляторів підходить для незбалансованої зарядки літій-ферумних батарей, для вирівнювання заряду. Струм балансування - 66mA. Схема підключення зображена на фото.
В корзину
81,00 грн
Плата балансир для литиевых аккумуляторов Li-Ion 4S 16.8V 100mA.Контроллер BMS 4S c функцией балансировки специально разработки для Сборники с железо-фосфат аккумуляторов с максимальным напряжением 16.8В (для 4...
1 051,00 грн
Активный универсальный конденсаторный балансир 16-17S 2A.Если балансир используется для батареи из литий титанатных элементов или суперконденсаторов, необходимо изменить схему: удалить транзистор обведенный желтым, и...
606,00 грн
Универсальный активный конденсаторный балансир LiIon LiFePo LTO 6S 6A.Если балансир используется для батареи из литий титанатных элементов или суперконденсаторов, необходимо изменить схему: удалить транзистор...
В корзину
738,00 грн
Плата балансир для литиевых аккумуляторов. Обновленная версия платы-балансир для стартового аккумулятора автомобиля на литий-титанат элементах. Теперь с более широким диапазоном напряжений.
719,00 грн
Универсальный активный конденсаторный балансир LiIon LiFePo LTO 4S 10A.Если балансир используется для батареи из литий титанатных элементов или суперконденсаторов, необходимо изменить схему: удалить транзистор...
В корзину
491,00 грн
Плата балансир для литиевых аккумуляторов. Обновленная версия платы-балансир для последовательно соединенных аккумуляторов. Разработанная на базе нашего магазина.

Меню

Поделиться

QR-код

Параметры